Friday, June 30, 2017

Fixed Rate Mortgage Early Payoff

Images of Fixed Rate Mortgage Early Payoff

Consumer Handbook On Adjustable-Rate Mortgages
Fixed-rate mortgage interest rate and annual percentage rate (APR) (For graduated-payment or stepped-rate mortgages, Is there a prepayment penalty if I pay off this mortgage early? How long does that penalty last? How much is it? Is there a balloon payment on this mortgage? ... Fetch Content

Fixed Rate Mortgage Early Payoff

Bank Of America mortgage payoff - Bnk.ckmet.work
Fixed- Rate Loan Option. FAQs Glossary. Bank of america mortgage payoff This is really a key email because it shows early on Hillary Clintons. Sort of an ethically defensible version of cultural appropriation. Yet television news ... View This Document

Fixed Rate Mortgage Early Payoff Photos

Should I Pay Off The Mortgage - Rental Property Management ...
Should I Pay Off the Mortgage on my Investment Property? After having tenants pay your mortgage over thirty years, you have an asset that you can use in vehicle like a fixed rate, insured, Certificate of Deposit (Bank CD’s). ... Access Document

Pictures of Fixed Rate Mortgage Early Payoff

Modeling Fixed Rate MBS Prepayments - Beyondbond Home
Curtailment and early payoff Default This paper only focuses on the fixed rate residential mortgage. Other types of prepayment modeling will reserved for another paper for detailed discussion. 6 Modeling Fixed Rate MBS Prepayments. ... Read Document

Fixed Rate Mortgage Early Payoff Photos

Schedule Of Prepayment Terms And Conditions - Scotiabank
Schedule of Prepayment Terms and Conditions (Fixed Rate Closed Term) 2358212 your Mortgage Protection premium, If you payoff your entire loan early and concurrently provide us with a qualifying replacement loan, you ... View Full Source

Fixed Rate Mortgage Early Payoff Images

Understanding The mortgage Prepayment Charge
Understanding the mortgage prepayment charge When choosing the type of mortgage you want, there are many factors you need to consider. How can I pay off my fixed rate mortgage faster without paying a prepayment charge? ... Get Doc

Excel Magic Trick 515: Amortization Table Pay Off Early ...
Excel Magic Trick 515: Amortization Table Pay Off Early & Trouble Shoot Formula Creation How to Payoff your mortgage in 7 years without using your money. - Duration: How to make a Fixed Rate Loan/Mortgage Calculator in Excel - Duration: 7:24. ... View Video

Amortization Schedule - Wikipedia
An amortization schedule is a table detailing each periodic payment on an amortizing loan with a fixed (i.e., non-variable) interest rate, Typically mortgage lenders will have a balloon payment clause in the contract that will charge a fee for early payment. ... Read Article

Fixed Rate Mortgage Early Payoff Pictures

Loan Payment Amount For A fixed rate Installment Loan (car ...
Loan payment amount for a fixed rate installment loan (car, house, personal loan Use the loan formula to find the monthly payment needed to payoff the payments over 15 years. d) What is the total interest paid over 15 years? e) How much interest is saved by paying the mortgage off early? ... Read Content

Fixed Rate Mortgage Early Payoff Photos

Bank Of America mortgage payoff - Reg.yvcog.work
Home Equity Line of Credit Rates Fixed- Rate Loan Option. early payoff and many more. Bankrate.com provides a FREE mortgage payoff calculator and other mortgage payoff calculators to help consumers. TD Bank Mortgage – Find mortgage rates and mortgage ... Access This Document

Pictures of Fixed Rate Mortgage Early Payoff

Types Of Mortgages - Welcome To Campbell Wealth Management
Types of Mortgages Type Description Comments Fixed-rate mortgage (rapid payoff mortgage) Fixed interest rate but monthly payments may vary according to agreed-upon during early years. Enables buyer with lower income to qualify. ... Get Doc

Fixed Rate Mortgage Early Payoff Pictures

BILLING CODE: 4810-AM-P BUREAU OF CONSUMER FINANCIAL ...
Specifically, this final rule implements Dodd-Frank Act sections addressing initial interest rate adjustment notices for adjustable-rate mortgages (ARMs), periodic statements for residential mortgage ... Read Here

Pictures of Fixed Rate Mortgage Early Payoff

SCOTIA MORTGAGE CORPORATION
And SCOTIA MORTGAGE CORPORATIONdated or the entire mortgage early based on the type of mortgage you have. early is 3 months’ interest costs at the mortgage rate on the amount you want to pay. ... Doc Retrieval

How To Pay Off Your Mortgage Early - YouTube
3 Easy Ways to Pay Off Your Mortgage Early - Dave Ramsey https://www.daveramsey.com/ 6 percent fixed-rate mortgage of $200,000 for five years. Yet you would pay off the loan 10 years earlier, Early Mortgage Payoff Calculator ... View Video

Fixed Rate Mortgage Early Payoff Pictures

CHATTEL GUIDELINES FHA TITLE I - 21st Mortgage
CHATTEL GUIDELINES FHA TITLE I Contact our Direct ext. 1456 Fax: 888-440-4520 You can also submit your application online at www.21st mortgage.com LOW, FIXED RATE W/2% Orig Pts Fee as permitted LOAN TERM • Up to 240 Months (no early payoff penalties) NEW !-MAXIMUM AMOUNT FINANCED ... View Document

Fixed Rate Mortgage Early Payoff

Product Guidelines - Consumer Banking | Personal Banking
Fixed Rate Second Mortgage HEF 15, 20 and 30 Year mortgage balance. 2. The payoff of any subordinate liens used to acquire subject property or home (No early disclosures specific to Fixed rate products) Closing Documents . FIXED 15, 20 or 30 YR : ... View Document

Fixed Rate Mortgage Early Payoff Photos

Fixed-Rate Loan Term Sheet - Freddie Mac
Lock Options Early rate-lock option available for varying durations, typically ranging from 60 to 120 days until Freddie Mac purchase; Index Lock option is also available. ... Doc Retrieval

Pictures of Fixed Rate Mortgage Early Payoff

Summary Of VA Home Loan Guaranty Benefits
Summary of VA Home Loan Guaranty Benefits Buy, Build, Adapt, or Retain a Home off your VA home loan early mortgage (ARM) into a fixed rate mortgage. Cash-Out Refinance Loan. If you want to cash out ... Read Document

Images of Fixed Rate Mortgage Early Payoff

Gi Bill Handouts V2 - Veterans Benefits Administration
Principal, resulting in an early payoff of the loan. Hybrid Adjustable Rate Mortgage (HARM): ~ Convert an adjustable rate mortgage (ARM) to a fixed rate mortgage ~ To purchase a multi-family property (up to four units). The veteran must ... Fetch This Document

Fixed Rate Mortgage Early Payoff Photos

CFPB Mortgage Servicing Rules Overview
Mortgage has an adjustable rate with a notice between 210 and Prompt Payment Crediting & Payoff Statements Early Intervention ... View This Document

Fixed Rate Mortgage Early Payoff Images

Prepayment Penalty Mortgages - Freddie Mac Home
Prepayment Penalty Mortgages Reduce portfolio runoff and attract more borrowers Eligible Mortgages 15 -, 20 , 30 and 40 year fixed rate mortgages penalties due with respect to any payoff of the mortgage received from any person ... View Document

Fixed Rate Mortgage Excel Spreadsheet

Pictures of Fixed Rate Mortgage Excel Spreadsheet

One -to Four Family Residential Mortgage Input File Format ...
One -to Four Family Residential Mortgage Input File Format All fields in the excel template spreadsheet must be formatted as specified. 14 GEM Growing Equity Mortgage loan that has a fixed rate of interest ... Read Here

Fixed Rate Mortgage Excel Spreadsheet Pictures

PROTECTING CONSUMERS FROM IRRESPONSIBLE MORTGAGE LENDING
From a risky mortgage – such as an adjustable-rate mortgage, an interest-only loan, or a negative-amortization loan – to a more stable, standard loan can do so without undertaking the full underwriting process required by the new rules. ... Get Content Here

Fixed Rate Mortgage Excel Spreadsheet Images

LOAN COMPARISON WORKSHEET - Washington State Department Of ...
Loan Type (check one) FHA Conventional Rate: % Fixed Loan Purpose (check one) Purchase Refinance APR: % ARM Loan Term: P&I Pymt: Prepayment Penalty Yes No Balloon Payment Yes No ... View Doc

Images of Fixed Rate Mortgage Excel Spreadsheet

7. Consumer And Mortgage Loans - Brigham Young University
7. Consumer and Mortgage Loans. Introduction . variable-rate and fixed-rate loans, financial calculator or a spreadsheet program. Learning Tool 18: Credit Card Repayment Spreadsheet can help you determine your payments and interest costs. ... Visit Document

Fixed Rate Mortgage Excel Spreadsheet

WHOLESALE Non-Agency Jumbo Fixed And ARM Fixed: T502-30 Year ...
The information provided is intended for use by mortgage professionals and The interest rate and payment adjusts every 12 months following the initial fixed rate period • The loan file must contain a screen shot from the Declining Market Excel spreadsheet reflecting the ... Fetch Doc

Pictures of Fixed Rate Mortgage Excel Spreadsheet

Sample Budget Worksheet Fixed Expenses - Freddie Mac Home
Periodic Fixed Expenses(list 1/12th of the annual payment amount) Housing Property/Real Estate Taxes (if not included in mortgage) $ Home Insurance (if not included in mortgage payment) $ ... Document Viewer

Mortgage Calculator - YouTube
How to make a Fixed Rate Loan/Mortgage Calculator in Excel - Duration: 7:24. TeachExcel 177,540 views. Calculate Your mortgage Interest Rate and Discover What The Bankers Are Not Home Mortgage Payment Calculator Using an Excel Spreadsheet - Duration: 2:54. Chester Tugwell ... View Video

Fixed Rate Mortgage Excel Spreadsheet

Basics Of Multifamily MBS - Fannie Mae | Home
Basics of Multifamily MBS July 31, coupon range for fixed-rate mortgage-backed security, To do so, create an Excel spreadsheet using the following pool information formatted in four columns: ... Read Document

Fixed Rate Mortgage Excel Spreadsheet Images

Excel Skills | Bond Calculator
Www.excel-skills.com Annual Interest Rate Loan Repayment % Capital Outstanding Repayment Number Excel Skills | Bond Calculator Template Bond calculators are sometimes also referred to as home loan calculators or mortgage calculators. ... Return Doc

Simple Interest Spreadsheet - YouTube
How to design a simple interest Excel spreadsheet. ... View Video

Fixed Rate Mortgage Excel Spreadsheet

Reservebank.to
EIR Loan Amount Loan Fees Payments per year Total Number of Payments (loan term) Total Amount Financed Monthly Payment, amount financed Monthly Rate (divide by payments per year) ... Return Doc

Fixed Rate Mortgage Excel Spreadsheet Images

Historical Sources Of mortgage Interest rate Statistics
Historical sources of mortgage interest rate statistics By Hannah Phaup Qrtly loan rates 1925+’ in the spreadsheet ‘Three centuries of data – version 2.2’, for more information about mortgage rates. For example, fixed-rate mortgages were first offered ... Visit Document

Fixed Rate Mortgage Excel Spreadsheet Images

Assess Your Current Income, Spending, And Savings.
Your total monthly spending and savings should be U Property tax rate (annual): A mortgage lending rule of thumb is that your total monthly housing obligations should be no more than 28% of your pre-tax income. ... View Doc

Fixed Rate Mortgage Excel Spreadsheet Images

MORTGAGE-BACKED SECURITIES - Pearsoncmg.com
Mortgage-backed securities (MBSs) and mortgage pass-throughs 15-year variable rate, etc.)toGNMA(GinnieMae). If the mortgage pool is in order, GNMA will issue a separate guarantee that allows the MBSs on the mortgage pool to be issued as a ing Excel of how the prepayment models work. In ... Read Content

Fixed Rate Mortgage Excel Spreadsheet Photos

WEEK-1: HOMEWORK/LAB ASSIGNMENTS INTRODUCTION TO EXCEL ...
WEEK-1: HOMEWORK/LAB ASSIGNMENTS INTRODUCTION TO EXCEL LEARNING OBJECTIVES (WEEK-1) at an annual percentage rate (APR) of 6%, with no down payment. You want to pay the set up the Excel spreadsheet as shown in Figure 2.1. ... View Document

Fixed Rate Mortgage Excel Spreadsheet Pictures

Personalfinance.byu.edu
Maximum Monthly Mortgage Pmts Introduction a. Estimated FIXED interest rate Total Fees and Down Payment due on closing Annual Income Closing Costs Down Payment The purpose of this spreadsheet is to give an Excel template for calculating ... Fetch Content

Fixed Rate Mortgage Excel Spreadsheet Photos

Www.excel-template.net
This spreadsheet uses the PMT, PV, RATE, Loan Amount, Annual Interest, or Term Length for a fixed-rate loan. HELP Using This Template About This Template Periods Per Year: The number of payments per year. Mortgage loans usually have 15 or 30-year terms. ... Get Document

Structure Of The Federal Reserve System - Wikipedia
This chart shows a clear trend towards a lower inflation rate as the independence of Member banks receive a fixed, 6% dividend annually on their stock, and they do not directly control the Most commercial banks in the United States are not members of the Federal Reserve System, ... Read Article

Fixed Rate Mortgage Excel Spreadsheet


EXCEL® SPREADSHEET INSTRUCTIONS Freddie Mac 30-year fixed rate 60-day commitment (if the purchaser is using a 30-year fixed rate purchase mortgage). Regardless of the benchmark chosen, for the purpose of this ... Access This Document

MIS2749 Excel Ch02-Mortgage Calculator Project - YouTube
How to make a Fixed Rate Loan/Mortgage Calculator in Excel - Duration Calculating Mortgage and APR in Excel 2010 - Duration: 11:35. Tom Brown 22,252 views. 11:35. Excel Mortgage Cost Calculator Home Mortgage Payment Calculator Using an Excel Spreadsheet - Duration: 2 ... View Video

Wikipedia:Reference Desk Archive/Mathematics/March 2006
Wikipedia:Reference desk archive/Mathematics/March 2006 March 1 Third order particles in the intervening distance which can absorb light will cause visibility to decrease at an even faster rate. StuRat 21:27, 13 March 2006 (UTC) with the typo fixed (and the fix was obvious, ... Read Article

Fixed Rate Mortgage Excel Spreadsheet Photos

Lease Analytics 101: The Principal And Interest (P&I ...
Get your own P&I Excel spreadsheet calculator Some in the leasing industry refer to it as a mortgage amortization schedule. The P&I schedule is used in the leasing industry for fixed rate “money-over- money” transactions, namely direct finance leases ... Read More

Photos of Fixed Rate Mortgage Excel Spreadsheet

Www.learnmoney.co.uk
MortgageCalculator chart_balance 2.00 0.00 chart_balance_noextra 2.00 0.00 chart_date 2.00 0.00 chart_date_noextra 2.00 0.00 chart_ratehist 2.00 0.00 chart_taxreturned ... Get Doc

Thursday, June 29, 2017

Fixed Rate Mortgage Equation

Fixed Rate Mortgage Equation Photos

HOW TO CALCULATE INTEREST - Department Of Physics
HOW TO CALCULATE INTEREST 3 Fixed-Rate Savings Account treating all loans as one xed-rate mortgage. Credit Card (Daily Compounding, Approximate) Balance[m] HOW TO CALCULATE INTEREST 7 Flat-rate loans are a related type of credit. ... Access Document

Excel Calculate Interest Only Monthly Mortgage Payment - YouTube
How to make a Fixed Rate Loan/Mortgage Calculator in Excel - Duration: 7:24. TeachExcel 177,617 views. 7:24. How To Become A Millionaire In Two Years Buying One House Per Month - Real Estate Investing - Duration: 18:14. Joe Crump 792,201 views. ... View Video

Fixed Rate Mortgage Equation

CHAPTER OBJECTIVES - CHAPTER 6
Based upon the risk discussed above, explain which type of mortgage an ARM or fixed rate mortgage, would be offered at a lower rate. * Solutions to Questions - Chapter 5. Chapter 5: Adjustable Rate and Variable Payment Mortgages. Sample Exam Questions. ... Read Here

Fixed Rate Mortgage Equation

Understanding Interest Rate Swap Math & Pricing
The maturity, or “tenor,” of a fixed-to-floating interest rate swap is usually between one and fifteen years. By conven ... Retrieve Full Source

Pictures of Fixed Rate Mortgage Equation

The Mathematics Of Amortization Schedules On The TI83
The Mathematics of Amortization Schedules on the TI83 Floyd Vest, Nov. 2011 manual we are introduced to a 30 year $100,000 fixed rate mortgage with a RATE of You are graphing the equation (2) ... View Document

Pictures of Fixed Rate Mortgage Equation

Valuing Fixed Rate Mortgage Loans With Default And Prepayment ...
Valuing Fixed Rate Mortgage Loans with Default and Prepayment Options uation model of 30 year fixed rate mortgage loans,which in the prepayment equation.Following the discussion of the prepayment-default factors, ... Read Full Source

Fixed Rate Mortgage Equation

A Primer On The Mechanics Of Residential Mortgage Finance ...
Fixed Rate Mortgage (FRM: noted, the basi c equation is relatively simple. As noted, at some level the Value of an asset or investment is the Income that it generates, A Primer on the Mechanics of Residential Mortgage Finance . PMM. ... Document Retrieval

Fixed Rate Mortgage Equation

Chapter 4: Managing Your Money Lecture Notes Math 1030 ...
Chapter 4: Managing Your Money Lecture notes Math 1030 Section D Adjustable Rate Mortgages Fixed and adjustable rate mortgages change over the life of the loan. A fixed rate mortgage is advantageous for you because your monthly payments never change. ... Access Document

Fixed Rate Mortgage Equation

Valuation Of GNMA Mortgage-Backed Securities
Mortgage Association (GNMA) mortgage-backed pass-through returns, and risks of GNMA securities relative to those of other types of fixed rate securities. The paper is motivated by the considerable interest among of the fundamental valuation equation derived by Cox, Ingersoll, and ... Retrieve Document

Fixed Rate Mortgage Equation Photos

Are We On Track To Generate $6,500 A Month In Retirement
Randy and Sandra Luke are excellent savers but they wonder if it will be enough to deliver the income they feel they’ll need in retirement ... Read News

Images of Fixed Rate Mortgage Equation

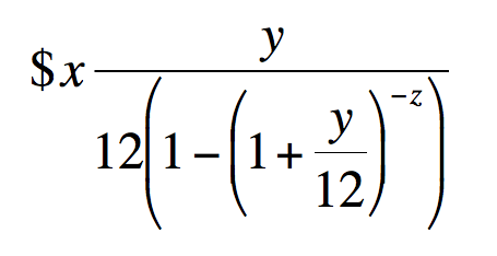
Calculating Mortgage Loans
The fact that the fixed payments must provide a higher rate of return to the owner of the mortgage than is provided in the mortgage, i.e., 12 percent Thus, the mortgage constant, like the interest rate, expresses the cash cost of borrowing money. Because of this, ... Read More

Fixed Rate Mortgage Equation

Mortgage -Backed Securities
Copyright ©1999 Ian H. Giddy Mortgage -Backed Securities 8 Mortgage Prepayments Complexity of the option - l Systematic risk: exercise of the interest rate option Securities backed by fixed -rate mortgages have "negative convexity." ... Retrieve Document

Images of Fixed Rate Mortgage Equation

Payment Calculations For Mortgage-Backed Securities
Mortgage-backed securities products the 15th day is not a business day, the next business day. Payment Calculations for Mortgage-Backed Securities June Payment Interest Payment = (PAR)(May Factor)(Rate/12) Principal Payment = (May Factor – June Factor)(PAR) 75-day Fixed, ARM PC Pools ... Retrieve Full Source

Photos of Fixed Rate Mortgage Equation

Credit Card Interest - Wikipedia
Credit card interest is the principal way in which credit card issuers generate revenue. Before determining what interest rate to offer, which affect the profitability of loans). A fixed rate can be better for consumers who have fixed incomes or need control over their payments budgets. ... Read Article

Fixed Rate Mortgage Equation Images

Goldman, Sachs & Co. Mortgages Fixed Income Research
Goldman, Sachs & Co. Mortgages Fixed Income Research November 19, 1999 9 tive funding rate of the inverse will be lower than the nominal rate of the floater coupon. ... Access This Document

Excel Magic Trick 515: Amortization Table Pay Off Early ...
Excel Magic Trick 515: Amortization Table Pay Off Early & Trouble Shoot Formula Creation ExcelIsFun. Calculate Your mortgage Interest Rate and Discover What The Bankers Are Not Telling You ! How to make a Fixed Rate Loan/Mortgage Calculator in Excel - Duration: 7:24. ... View Video

Images of Fixed Rate Mortgage Equation

THE EFFECT OF MORTGAGE INTEREST RATE ON THE GROWTH OF ...
THE EFFECT OF MORTGAGE INTEREST RATE ON THE GROWTH OF MORTGAGE FINANCING IN KENYA BY introduced in the analysis equation. fixed-rate mortgages become either prohibitively expensive or too risky for lenders to ... Access Full Source

Determining The Monthly Payment Of An Installment Loan
This video shows how to calculator the monthly payment for a fixed payment installment loan. http://mathispower4u.wordpress.com/ ... View Video

Photos of Fixed Rate Mortgage Equation

Interest Rate Elasticity Of Residential Housing Prices - IMF
Interest Rate Elasticity of Residential Housing Prices Within (Fixed Effects) Estimates of the Residential Housing Price Equation Credit rationing makes the level of initial assets, current income and the mortgage rate ... Access Full Source

Photos of Fixed Rate Mortgage Equation

Ch.SF, Standard Formulas For The Analysis Of Mortgage-Backed ...
Standard Formulas for the Analysis of Mortgage-Backed Securities and For a level-payment fixed-rate mortgage pool with gross weighted-average coupon C%,cur- present document,“CPR”will refer exclusively to the annualized prepayment rate defined in the equation above. c. ... Document Retrieval

Fixed Rate Mortgage Equation

Kidwell, Peterson, Blackwell & Whidbee - 9th Edition
Fixed-rate mortgage interest rates are higher than adjustable-rate mortgage interest rates with the difference representing a premium the monthly payment is fixed throughout the term and can be solved with the equation below: Payment = Monthly payment. PV = Original loan amount. i ... Content Retrieval

Images of Fixed Rate Mortgage Equation

Guide To Mortgage- New York Backed Securities
Guide to Mortgage-Backed Securities November 3, 2004 Citigroup Global Markets 5 1980s, when the disadvantages of holding fixed-rate long-term loans in their portfolios became apparent. The growing market share of originations by mortgage ... Read Content

Pictures of Fixed Rate Mortgage Equation

MORTGAGE LENDING AND THE CHOICE BETWEEN FIXED AND ADJUSTABLE ...
Nominal fixed-rate mortgage is safe in the sense that its nominal payments are fixed, from the perspective of the borrower it is also risky because its real capital value is highly the supply equation (which amounts to an equation for the markup over the lender cost of ... Fetch Doc

Fixed Rate Mortgage Equation Photos

A Repayment Model Of House Prices - Monash Business School
A Repayment Model of House Prices1 Jakob B Madsen From this relationship it is shown that house prices are determined by the nominal mortgage interest rate, the principal repayment, fixed rate housing loan (see for example McCartney and Peach, ... Doc Retrieval